그래프 (Graph)
수학적 정의로 그래프는 객체들의 쌍들이 서로 연관되어 객체의 집합을 이루는 구조를 의미합니다.
쉽게 설명하면?
사물이나 추상적인 개념 간의 연결 관계를 표현한 것이라고 할 수 있습니다.
도시를 연결하는 도로망이나 사람들 간의 관계, 웹 사이트 링크 관계 등이 이에 해당하는 예시입니다.
그래프의 구성 요소
- 정점 (Vertex / Node) : 그래프에서 위치를 나타냅니다.
- 간선 (Edge / Link / Branch) : 그래프에서 위치 간의 관계를 나타냅니다. 즉, 각 정점(노드)를 연결하는 선(line)을 의미합니다.
- 인접 정점 (Adjacent Vertex) : 간선(Edge)에 의해 직접 연결된 정점을 의미합니다.
- G(V, E) : 그래프는 정점과 간선의 집합이므로 이건, 그래프 자체를 의미합니다.
그래프의 종류
- 무방향 그래프 : 간선을 통해 양방향으로 이동할 수 있는 그래프 => G(A, B) == G(B, A) 동일
- 방향 그래프 : 간선에 방향이 존재하는 그래프 => G(A, B) != G(B,A) 다름
- 가중치 그래프 : 간선에 비용 또는 가중치가 할당된 그래프 => '네트워크' 라고도 함
- 연결 그래프 : 무방향 그래프에서 모든 정점쌍들에 대해 항상 경로가 존재하는 그래프
- 비연결 그래프 : 무방향 그래프에서 특정 정점쌍들에 경로가 존재하지 않는 그래프
- 순환 그래프 : 단순 경로의 시작 정점과 종료 정점이 동일한 경우 * 단순경로란, 반복되는 정점이 없는 경로
- 비순환 그래프 : 순환이 없는 그래프
인접 행렬과 인접 리스트
그래프를 구현하여 표현하는 방법에는 여러가지가 있습니다.
일반적으로 인접행렬과 인접리스트 방식이 있습니다.
이 두 가지 방식은 서로 정반대의 특징을 갖기 때문에, 한 방식의 장점이 다른 방식의 단점이 되는 경우가 나타납니다.
따라서,
구현하려는 알고리즘, 그래프의 종류에 따라 적절하게 사용하여야 합니다.
1. 인접 행렬 그래프 - "모든 정보를 저장"
- 직관적이며 쉽게 구현이 가능합니다.
- 하지만, 불 필요한 정보의 저장이 많으며, 그래프의 크기가 커지면서 메모리 초과가 발생할 수도 있습니다.
구현방법은 int 형 2차원 배열을 주로 이용하며, 이동할 수 있다면 1, 이동할 수 없다면 0으로 표기합니다.
ㅓㅏㅣㅓㅏㅣㅓㅏㅣㅓㅏㅣㅓ

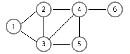
인덱스를 가지고 그래프 예시를 들자면, 아래와 같이 생각하면 됩니다.

| 정점 | 인접 정점 |
| 1 | 2 |
| 1 | 3 |
| 2 | 3 |
| 3 | 4 |
| 2 | 4 |
| 4 | 5 |
| 3 | 5 |
| 4 | 6 |
위에서 설명한 인접 행렬을 코드로 구현해보겠습니다.
class ArrGraph {
private int[][] arrGraph;
public ArrGraph(int initSize) {
/*
배열의 idx 가 0부터 시작함으로, ArrayIndexOutOfBoundException 방지를 위해
정점을 담는 인접행렬의 행과 열 size 는 1을 더하여 초기화 해줌.
*/
this.arrGraph = new int[initSize+1][initSize+1];
}
public int[][] getArrGraph() {
return this.arrGraph;
}
public void putTwoWay(int x, int y) {
arrGraph[x][y] = arrGraph[y][x] = 1;
}
public void putOneWay(int x, int y) {
arrGraph[x][y] = 1;
}
public void printGraphToAdjArr() {
for (int i = 0; i < arrGraph.length; i++) {
for (int j = 0; j < arrGraph[i].length; j++) {
System.out.print(" " + arrGraph[i][j]);
}
System.out.println();
}
}
}
public class AdjArray {
public static void main(String[] args) {
int initSize = 6;
ArrGraph adjArr = new ArrGraph(initSize);
adjArr.putTwoWay(1, 2);
adjArr.putTwoWay(1, 3);
adjArr.putTwoWay(2, 3);
adjArr.putTwoWay(2, 4);
adjArr.putTwoWay(3, 4);
adjArr.putTwoWay(3, 5);
adjArr.putTwoWay(4, 5);
adjArr.putTwoWay(4, 6);
adjArr.printGraphToAdjArr();
}
}
2. 인접 리스트 그래프
- 필요한 정보만 저장하여, 메모리 절약이 가능합니다.
- 하지만, 인접행렬에 비해 다소 어려움이 있습니다.
인접리스트는 배열(ArrayList)이나, 연결리스트(LinkedList) 등의 자료구조를 이용하여, 각 정점에서 이동가능한 정점들을 저장합니다.
대표적으로 두 자료구조를 이용한 2차원 배열이라고 생각할 수 있습니다.

아래도 위와 같이 인덱스를 가지고 예시를 들어보자면,

| 1 | 2 -> | 3 | ||
| 2 | 1 -> | 3 -> | 4 | |
| 3 | 1 -> | 2 -> | 4 -> | 5 |
| 4 | 2 -> | 3 -> | 5 -> | 6 |
| 5 | 3 -> | 4 -> | ||
| 6 | 4 -> |
위 상황을 코드로 구현로 나타내보겠습니다.
import com.sun.scenario.effect.impl.sw.java.JSWBlend_SRC_OUTPeer;
import java.util.ArrayList;
class ListGraph {
private ArrayList<ArrayList<Integer>> listGraph;
public ListGraph(int initSize) {
this.listGraph = new ArrayList<ArrayList<Integer>>();
// 안에있는 값들을 초기화를 해줍니다. 그렇지만 +1 필수!
for (int i = 0; i < initSize + 1; i++) {
listGraph.add(new ArrayList<>());
}
}
public ArrayList<ArrayList<Integer>> getGraph() {
return this.listGraph;
}
public ArrayList<Integer> getNode(int i ) {
return this.listGraph.get(i);
}
// 그래프 추가 (양방향)
public void putTwoWay(int x, int y) {
listGraph.get(x).add(y);
listGraph.get(y).add(x);
}
// 그래프 추가 (단방향)
public void putOneWay(int x, int y) {
listGraph.get(x).add(y);
}
public void printGraphToAdjList() {
for (int i = 1; i < listGraph.size(); i++) {
System.out.print("정점 " + i + ": ");
for (int j = 0; j < listGraph.get(i).size(); j++) {
System.out.print(" --> " + listGraph.get(i).get(j));
}
System.out.println();
}
}
}
public class AdjList {
public static void main(String[] args) {
int initSize = 6;
ListGraph adjList = new ListGraph(initSize);
// 단방향
// 따로..
// 양방향
adjList.putTwoWay(1, 2);
adjList.putTwoWay(1, 3);
adjList.putTwoWay(2, 3);
adjList.putTwoWay(2, 4);
adjList.putTwoWay(3, 4);
adjList.putTwoWay(3, 5);
adjList.putTwoWay(4, 5);
adjList.putTwoWay(4, 6);
//System.out.println(adjList.getGraph());
adjList.printGraphToAdjList();
}
}
인접 행렬과 인접리스트의 차이
인접행렬
- 정점 v1, v2에 대해 한 번의 접근으로 확인 가능합니다
- V개의 노드 표현을 위해 V 제곱 만큼의 공간이 필요합니다.
- 인접 노드를 찾기 위해선, 모든 노드를 순회해야 합니다.
- 공간 복잡도는 O(V제곱) 입니다.
인접리스트
- 리스트의 처음부터 하나 씩 확인해야 합니다.
- V개의 리스트에 간선(E) 만큼 원소가 들어 있습니다.
- 인접 노드를 쉽게 찾을 수 있습니다.
- 공간 복잡도는 O(V + E) 입니다.
'CS > Datastructure & Algorithm' 카테고리의 다른 글
| HashMap & HashTable (0) | 2022.04.18 |
|---|---|
| 이분 그래프(Bipartite Graph)란? (0) | 2022.04.15 |
| 그래프와 트리의 차이는? (0) | 2022.04.04 |
| 백트래킹(Backtracking) 이란? (0) | 2022.04.01 |
| 점화식 이란? (0) | 2022.03.16 |